
开完项目启动会议,项目就算正式的运作了。这个时候,PM的要着手完成项目计划。而完成项目计划的第一步。就是进行活动级别的项目估算。
《一》创建项目活动
项目活动是基于项目的工作分解结构(WBS)的。之前我们将需求转化为了任务,而任务级别在整个项目过程中依旧太过于粗略。于是在任务级别的基础上继续细分,将每一个任务细分成活动。即完成每一个任务需要做哪些活动。
在这里如果是非技术出身的项目经理,或者对行业还没足够了解的项目经理,可以考虑引入技术人员一起完成这项任务。如果对于行业足够了解,对于技术也完全有信心的。可以自己来做。
下图是之前的一个例子,工作分解结构分解到了任务级别。在这个级别的基础上我们得到了关键路径和项目里程碑。

而现在我们需要继续细化到活动级别。基于活动级别制定项目计划。于是在这个基础上,继续下坠得到活动级别的工作分解结构。如下图:

比较一下,之前任务级别的工作分解结构基于三层,而基于活动的工作分解结构继续下坠到第四层。此处如果单个活动依旧过大的话,还可以继续下坠细分。这个由项目经理按照具体情况酌情选择。
至此,我们得到了项目在活动级别的工作分解结构。接下去,需要基于活动级别的工作分解结构进行工时估算。
《二》三点估算
从项目经理被任命到现阶段,已经进行过2次的工时估算。第一次用于投标,第二次用户项目启动会议的粗略的项目计划。之前的两次,都是基于历史数据的类比,估算的进度偏差会比较大。而此次的估算,会用户详细的项目计划,所以,此次的估算对于进度要求会比较高。
而另一方面,截止到现在对于需求的了解,也比之前详细了许多。所以估算的依据也相对可靠许多。
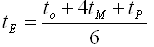
此处一般使用三点估算这个工具来提高估算精度。该方法起源于计划评审技术(Project Evaluation and Review Technique - PERT),对每个活动分别按照最乐观,最悲观以及最有可能的情况进行估算,通过加权平均的方式估算活动持续时间的近似值。见下列公式:

这是PMP书本上的官方做法。之所以说是靠谱方法,原因在于估算活动的持续时间是一种概率分布——正态分布。而根据正态分布的特性,即,tE,落在横轴区间(μ-3σ,μ+3σ)的概率为99.7%

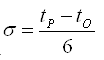
而方差σ的公式为:

正因为通过三点估算,可以将活动持续时间的估算近似到(μ-3σ,μ+3σ)的区间范围之内。既直观,有有效直接,从而被业界作为标准而使用。
也就是说,通过三点估算得到的精度会在(μ-3σ,μ+3σ)的区间范围之内。对于项目计划而言,大大增强了可控性。
《三》三点估算在活动估算的应用
现在我们手上有基于活动的工作分解结构,以及三点估算这个工具。接下去就是要讲两者相结合进行估算。
首先,将基于活动的工作分解结构做一个演变,将活动罗列成活动清单。
其次,在每一个活动后面分别进行最乐观估计,最悲观估计以及最有可能情况的估计。
最后,进行统计,得到整个项目所需要的工时数。
下图是基于活动的工作分解机构的演变,以及估算:

表格中对于每个活动都进行了最优估算,最坏估算和最可能的估算。当然这只是一个例子,记录了一个简单网页系统,从完全没有,到明确细化需求,到开发完成的每一个步骤。

总计的数据为上面每一个活动的估算总和。而估算结果,使用了三点估算的公式,得到了63.71人天的结果。
也许你要问那么简单的一个功能,为什么估算出了那么大的数字?
正如上文中提到的。这是一个完整的从什么都没有到有的一个项目。相信在日常的工作中,可能你不需要考虑域名的申请或者环境的部署。这些在成熟的公司系统中有现成的或者是有专门团队会去做。而在这个项目中,我们把他全部考虑进去了。这是其一。
其二,以上项目是基于多人协作开发的项目,中间的沟通成本,如前中后的接口定义,在这个功能简单的小项目中会占据相当大的比重。如果该项目是基于同一人完成的,那么响应的工时也会大大降低。
本文来源 网站,文章版权归原作者及原出处所有,内容为个人观点,并不代表本站赞同其观点和对其真实性负责,本站只提供参考并不构成任何投资及应用建议。我们已经尽可能的对作者和来源进行了通告,如有异议请及时联系我们,我们将根据著作权人的要求,立即更正或者删除有关内容。
本文内容为作者个人观点,OILUP仅提供信息发布平台